Impulse And Momentum

Principle Of Impulse and Momentum

Impulse is defined as the integral of a force acting on an object, with respect to time. This means that impulse contains the product of force and time. Impulse changes the momentum of an object. As a result, a large force applied for a short period of time can produce the same momentum change as a small force applied for a long period of time. An impulse can act on an object to change either its linear momentum, angular momentum, or both.

In many real life problems involving impulse and momentum, the impulse acting on a body consists of a large force acting for a very short period of time – for example, a hammer strike, or a collision between two bodies.

The following problem illustrates the principle of impulse and momentum.


A solid ball of mass m and radius r is rolling without slipping on a flat horizontal surface, at an initial angular velocity w1. It hits a small bump of height h. What is the angular velocity of the ball immediately after impact? Also, what is the minimum initial angular velocity w1 so that the ball just makes it over the bump? What is the minimum initial speed of the ball?

Assume that the ball pivots about the tip of the bump during, and after impact.

Impulse and momentum problem where a ball hits a bump


Solution

Set up a schematic of this problem, as shown, along with sign convention. Assume the center of mass G is at the geometric center of the ball. Gravity g is pointing down. During impact the ball is assumed to pivot about P, as indicated.

Schematic of impulse and momentum problem where a ball hits a bump

Let Fpx be the horizontal impulse force at point P, and Fpy be the vertical impulse force at point P.

We can treat this as a planar motion problem. It can be solved using the principle of impulse and momentum. Since this problem combines translation and rotation we must apply the equations for linear momentum and angular momentum.


In an impact of very short time duration (say, between an initial time ti and a final time tf), the impact force Fimp is typically very large. This means that the impulse term given by

Impulse term for impulse and momentum problem where a ball hits a bump

is dominated by the impact force Fimp, since mg (the gravitational force) is much smaller than Fimp. Therefore, we can ignore gravity for the impulse calculation.


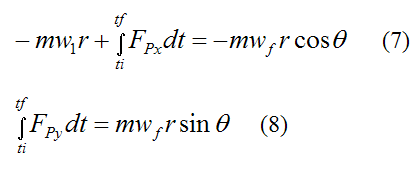
For planar motion in the xy plane, the equations for impulse and linear momentum are:

Equations for impulse and linear momentum in xy plane

Where:

vGxi is the velocity of the center of mass G in the x-direction before impact, and vGxf is the velocity of the center of mass G in the x-direction after impact

vGyi is the velocity of the center of mass G in the y-direction before impact, and vGyf is the velocity of the center of mass G in the y-direction after impact

The integrals are the impulse terms.


Since the ball initially rolls without slipping,

Ball initially rolls without slipping in impulse and momentum problem

The negative sign accounts for the fact that positive angular velocity means the ball rolls to the left (in the negative x-direction).

Since the ball initially rolls on a flat horizontal surface,

Ball initially rolls on a flat surface so there is no vertical motion


Immediately after impact the ball pivots about point P on the tip of the bump with an angular velocity wf. As a result the velocity of the center of mass (vGf), after impact, is perpendicular to the line joining point G to point P.

Ball pivots about point P immediately after impact

Since the ball pivots about point P immediately after impact:

Equation for velocity of G due to ball pivoting about point P immediately after impact

From geometry we can write

Equation for x velocity of G due to ball pivoting about point P immediately after impact

and

Equation for y velocity of G due to ball pivoting about point P immediately after impact

Substituting equations (3)-(6) into equations (1) and (2) we get

Equations for impulse and linear momentum in xy plane 2


Now, for planar motion, the equation for impulse and angular momentum is:

Equation for impulse and angular momentum in xy plane

Where:

IG is the moment of inertia of the ball about the center of mass G

ΣMG is the sum of the moments about point G


Now, referring to the figure above we can write

Sum of moments about G for impulse and momentum problem where a ball hits a bump

Thus,

Sum of moments about G for impulse and momentum problem where a ball hits a bump 2

This can be written as

Sum of moments about G for impulse and momentum problem where a ball hits a bump 3

Substituting the above equation into equation (9) we get

Equation for impulse and angular momentum in xy plane 2

We can combine the three equations (7), (8), and (10) to solve for the three unknowns:

Three unknowns in impulse and momentum problem where a ball hits a bump

However, we only need to know wf. Solving, we get

Solving for wf in impulse and momentum problem where a ball hits a bump

Now, by geometry

Solving for angle theta in impulse and momentum problem where a ball hits a bump

The moment of inertia of the solid ball about G is:

Moment of inertia of solid ball about G in impulse and momentum problem where a ball hits a bump

Substitute the above two equations into the equation for wf and we get

Final equation for wf in impulse and momentum problem where a ball hits a bump

This is the angular velocity of the ball immediately after impact.


We now need to find the necessary initial angular velocity w1 so that the ball just makes it over the bump.

We can use conservation of energy after impact since the only force that does work on the ball after impact is the gravitational force (which is a conservative force).

In the figure below, let’s define position 1 of the ball as its position immediately after impact. Due to the very short time of impact, this position very closely coincides with the position of the ball just as it touches the tip of the bump at point P, while rolling on the flat surface. Define the datum as coinciding with the initial height of the center of mass G of the ball as it is rolling on the flat surface.

Schematic for position 1 of ball in impulse and momentum problem where a ball hits a bump


In the figure below, let’s define position 2 of the ball as its top-most position while it pivots about point P. If the ball is able to reach this top-most position it will roll down the bump on the other side. We wish to find the minimum initial angular velocity w1 so that the ball is barely able to make it to the top of the bump. This corresponds to a kinetic energy of zero at the top of the bump.

Schematic for position 2 of ball in impulse and momentum problem where a ball hits a bump


Between positions 1 and 2, the equation for conservation of energy is:

Conservation of energy for ball reaching top of bump in impulse and momentum problem

Where:

T1 is the initial kinetic energy of the ball

V1 is the initial potential energy of gravity acting on the ball

T2 is the final kinetic energy of the ball

V2 is the final potential energy of gravity acting on the ball


The initial kinetic energy of the ball is:

Initial kinetic energy of ball in impulse and momentum problem

The initial potential energy of gravity acting on the ball (measured from the datum) is:

Initial gravitational potential energy of ball in impulse and momentum problem

The final kinetic energy of the ball is:

Final kinetic energy of ball in impulse and momentum problem

The final potential energy of gravity acting on the ball (measured from the datum) is:

Final gravitational potential energy of ball in impulse and momentum problem


Substituting equations (13)-(16) into equation (12) we get

Conservation of energy for ball reaching top of bump in impulse and momentum problem 2


From before,

Equation for velocity of G due to ball pivoting about point P immediately after impact

and

Moment of inertia of solid ball about G in impulse and momentum problem where a ball hits a bump


Substitute the above two equations into equation (17), and we get

Conservation of energy for ball reaching top of bump in impulse and momentum problem 3


Solving for wf we get

Final equation for wf in impulse and momentum problem where a ball hits a bump 2


Substituting this equation into equation (11) and solving for w1 we get

Minimum initial angular velocity in impulse and momentum problem where a ball hits a bump

This is the minimum initial angular velocity so that the ball just makes it over the bump.

The minimum initial speed of the ball v1 is:

Minimum initial speed in impulse and momentum problem where a ball hits a bump


Comment

It’s interesting that when solving for wf immediately after impact, we do not need to solve for Fpx and Fpy in the impulse terms:

Impulse terms in impulse and momentum problem where a ball hits a bump


If we wanted to solve for Fpx and Fpy we would need more information, such as the impact time, and the material properties of the bump and ball. Fortunately, for many problems involving impulse and momentum, this isn’t necessary.



Return to Dynamics page


Return to Real World Physics Problems home page

Free Newsletter

Subscribe to my free newsletter below. In it I explore physics ideas that seem like science fiction but could become reality in the distant future. I develop these ideas with the help of AI. I will send it out a few times a month.