Angular Momentum
Angular Momentum For A Rigid Body
For a rigid body experiencing planar (two-dimensional) motion, the angular momentum is given by the following general scalar equation:
 
Where:
HG is the angular momentum of the rigid body about the center of mass 
G
IG is the moment of inertia of the rigid body about an axis passing through the center of mass 
G, and perpendicular to the plane of motion
w is the angular velocity of the rigid body, with respect to ground
The figure below illustrates the general case where a rigid body is experiencing planar (two-dimensional) motion.
 
Note that 
HG is actually a vector quantity having magnitude 
IGw. But since the direction of 
HG is always perpendicular to the plane of motion, we can drop the vector notation.
If the rigid body has a fixed point 
O that is attached to ground, we can compute the angular momentum of the rigid body about point 
O instead of point 
G. The only difference from equation (1) is that the moment of inertia will be evaluated about an axis passing through point 
O, and perpendicular to the plane of motion.
The figure below illustrates the case where a rigid body is experiencing planar (two-dimensional) motion, and is rotating about a fixed point 
O.
 
For a rigid body experiencing planar (two-dimensional) motion, and rotating about a fixed point 
O, the angular momentum can be expressed as:
 
Where:
Ho is the angular momentum of the rigid body about point 
O
Io is the moment of inertia of the rigid body about an axis passing through the fixed point 
O, and perpendicular to the plane of motion
w is the angular velocity of the rigid body, with respect to ground
For a rigid body experiencing planar (two-dimensional) motion, the sum of the moments about the center of mass 
G is equal to the rate of change of angular momentum about the center of mass 
G. Thus,
 
And if the rigid body is rotating about a fixed point 
O, we can write
 
The left side of equations (3) and (4) represents the 
sum of the moments, either about point 
G or point 
O.
Dropping the subscripts 
G and 
O we can write
 
Integrate this equation from time 
ti to time 
tf and we have
 
The term on the left is defined as the external impulse acting on the rigid body (between 
ti and 
tf), due to the sum of the external moments acting on the rigid body (either about point 
G or a fixed point 
O on the rigid body).
If no external moments act on the rigid body (either about point 
G or a fixed point 
O), then
 
Angular momentum is therefore conserved for the rigid body (between 
ti and 
tf). Note that the above equation also applies for the case where the moment of inertia 
I is not constant, such as when the body is deforming (i.e. not rigid).
For general three-dimensional motion, the angular momentum of a rigid body is given by the following general scalar equations:
 
Where:
Hx is the 
x-component of the angular momentum of the rigid body
Hy is the 
y-component of the angular momentum of the rigid body
Hz is the 
z-component of the angular momentum of the rigid body
wx, 
wy, 
wz are the components of the angular velocity of the rigid body with respect to ground, and resolved along the local 
xyz axes (see figure below). To calculate these components, one must first determine the angular velocity vector of the rigid body with respect to the global XYZ axes, and then resolve this vector along the 
x, 
y, 
z directions to find the components 
wx, 
wy, 
wz. This is often done using trigonometry.
Ix is the moment of inertia of the rigid body about the local 
x-axis, passing through the center of mass 
G (see figure below)
Iy is the moment of inertia of the rigid body about the local 
y-axis, passing through the center of mass 
G (see figure below)
Iz is the moment of inertia of the rigid body about the local 
z-axis, passing through the center of mass 
G (see figure below)
Ixy is the product of inertia (
xy) of the rigid body, relative to the 
xyz axes, with origin at point 
G
Iyz is the product of inertia (
yz) of the rigid body, relative to the 
xyz axes, with origin at point 
G
Izx is the product of inertia (
zx) of the rigid body, relative to the 
xyz axes, with origin at point 
G
The moment of inertia terms are given by
 
The product of inertia terms are given by
 
Note that we can orient the local 
xyz axes so that the products of inertia 
Ixy, 
Iyz, 
Izx all equal zero. As a result, the moments of inertia 
Ix, 
Iy, 
Iz become the principal moments of inertia. For every rigid body, principal directions of inertia exist. If a body has two or three planes of symmetry, the principal directions of inertia will be aligned with these planes.
If 
Ix, 
Iy, 
Iz are the principal moments of inertia, equations (6) are simplified, resulting in:
 
 
If the rigid body has a fixed point 
O that is attached to ground, equations (6) and (7) will also apply to point 
O. The only difference is that (in equations (6) and (7)) the local 
xyz axes has its origin at the fixed point 
O on the rigid body (instead of point 
G), as shown below. As a result, the moment of inertia terms and product of inertia terms are calculated relative to point 
O.
 
For a rigid body experiencing general three-dimensional motion, the sum of the moments about the center of mass 
G, or a fixed point 
O, is equal to the rate of change of angular momentum (either about the center of mass 
G or a fixed point 
O). Thus,
 
Note that the moments are calculated with their components resolved along the local 
xyz axes.
From equation (8),
 
Integrate this equation from time 
ti to time 
tf and we have
 
The term on the left is defined as the external impulse acting on the rigid body (between 
ti and 
tf), due to the sum of the external moments acting on the rigid body.
Once again, this equation applies for both cases where the local 
xyz axes has its origin at point 
G or a fixed point 
O on the rigid body.
If no external moments act on the rigid body (either about point 
G or a fixed point 
O), then
 
Angular momentum is therefore conserved for the rigid body (between 
ti and 
tf).
For the case where we wish to determine the angular momentum of a rigid body about an arbitrary point, see problem # 9 in the 
momentum problems page.
Derivation of the angular momentum equations for a rigid body (optional)
The equations for planar (two-dimensional) motion follow naturally from the equations for general three-dimensional motion, so it is only necessary to derive the equations for three-dimensional motion.
To derive the three-dimensional equations for the angular momentum of a rigid body we must apply the equation for angular momentum of a small mass element in the rigid body, and then sum it over the entire rigid body. The problem is set up as shown in the figure below.
Note that, for the proof that follows the local 
xyz axes has its origin at the center of mass 
G of the rigid body.
 
For a small mass element 
mi in the rigid body we define the angular momentum relative to point 
G as:
 
Where:
riG is the position vector from point 
G to the location of 
mi. This vector is measured relative to the local xyz axes
mi is the mass of a small, arbitrary mass element in the rigid body. This mass element is small enough to be considered a particle
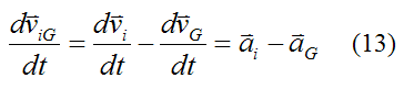
viG is the velocity vector of this mass element relative to point 
G, and resolved along the local 
xyz axes
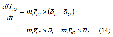
Differentiate equation (10) with respect to time:
 
Now,
 
Therefore the first term on the right side of equation (11) is zero.
And from the equations for 
general motion of a rigid body:
 
Where:
vi is the velocity vector of mass 
mi with respect to an inertial reference frame (ground), and resolved along the local 
xyz axes. To calculate 
vi, one must first determine 
vi with respect to the global XYZ axes, and then resolve this vector along the local 
xyz axes. This is often done using trigonometry.
vG is the velocity vector of point 
G with respect to an inertial reference frame (ground), and resolved along the local 
xyz axes. To calculate 
vG, one must first determine 
vG with respect to the global XYZ axes, and then resolve this vector along the local 
xyz axes. This is often done using trigonometry.
Differentiate equation (12) with respect to time:
 
Where:
ai is the acceleration vector of mass 
mi with respect to an inertial reference frame (ground), and resolved along the local 
xyz axes. To calculate 
ai, one must first determine 
ai with respect to the global XYZ axes, and then resolve this vector along the local 
xyz axes. This is often done using trigonometry.
aG is the acceleration vector of point 
G with respect to an inertial reference frame (ground), and resolved along the local 
xyz axes. To calculate 
aG, one must first determine 
aG with respect to the global XYZ axes, and then resolve this vector along the local 
xyz axes. This is often done using trigonometry.
Substitute equation (13) into equation (11) and we get
 
By Newton’s Second Law,
 
where 
Fi is the (net) force vector acting on particle 
mi.
Equation (14) becomes
 
Summing over all the particles 
mi in the rigid body we have
 
The second term on the right is zero because 
aG is constant over the summation and
 
To see why the above equation is true go to 
center of mass.
Thus,
 
By definition, the right side of this equation is the sum of the moments of the external forces acting on the rigid body, about point 
G.
The above equation tells us that the rate of change of angular momentum of the rigid body about point 
G is equal to the sum of the moments of the external forces acting on the body, about point 
G. This proves equation (8).
Now, let’s look again at equation (10):
 
From the equations for 
general motion of a rigid body:
 
It remains to carry out the vector cross product multiplications in this equation and then sum 
HiG over the entire rigid body, using integration. Upon doing so we arrive at equations (6) for angular momentum relative to point 
G. The full derivation is not shown here, since it is mostly a mathematical exercise, similar to the derivation of the 
Euler equations.
Now, if we were to start from the beginning and assume a fixed point 
O on the rigid body instead of point 
G in the derivations, we would arrive at the same form of equations as (6)-(9). As mentioned before, the only difference is that the local 
xyz axes has its origin at the fixed point 
O on the rigid body (instead of point 
G). This means that the moment of inertia terms and product of inertia terms are calculated relative to point 
O. In addition, the sum of the moments would be taken about point 
O instead of point 
G.
Return to Dynamics page
Return to Real World Physics Problems home page