Pendulum Physics

To analyze the physics of a pendulum, consider the figure below which shows an arbitrary rigid body swinging back and forth in a plane, about a pivot P. This swinging is due to the force of gravity.

general pendulum swinging in a plane

Where:

w is the angular velocity of the rigid body at the instant shown, in radians/s

P is the (fixed) pivot location

G is the location of the center of mass of the rigid body

L is the distance from point P to point G

θ is the angle between the vertical and the line joining points P and G, at the instant shown

Δh is the difference in height of point G, between the lowest point of the swing (chosen as the datum), and at the instant shown

g is the acceleration due to gravity, which is 9.8 m/s2 on earth


We wish to find the equation of motion for this rigid body.

In analyzing pendulum physics a common simplification is to assume no friction at the pivot P. Using this assumption we can apply the principal of conservation of energy for the pendulum. This principal states that the sum of the gravitational potential and kinetic energy of the pendulum remains constant over time. In other words,

conservation of energy for the pendulum

Where:

W is the gravitational potential energy of the pendulum at an instant

KE is the kinetic energy of the pendulum at an instant

C is a constant


The gravitational potential energy of the pendulum is:

gravitational potential energy for the pendulum

where m is the mass of the rigid body, and

difference in height of G for the pendulum

Therefore,

gravitational potential energy for the pendulum 2


The kinetic energy of the pendulum is:

kinetic energy of the pendulum

where Ip is the moment of inertia of the pendulum about an axis passing through point P (this axis is perpendicular to the plane of motion, so that it points out of the page)

Furthermore,

angular velocity of the pendulum


Applying the above equation for the conservation of energy for the pendulum we have,

conservation of energy for the pendulum 2

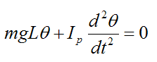
Next, differentiate this energy equation with respect to time. This is a convenient way to obtain the equation of motion for the pendulum. We get,

differentiate equation for conservation of energy for the pendulum

This becomes:

differentiate equation for conservation of energy for the pendulum 2

A common simplification when analyzing pendulum physics is to assume that θ is small, so that

small angle approximation for pendulum

Therefore,

equation for small angle approximation for pendulum

This is a second order differential equation. It has the general solution:

solution to equation for pendulum

where t is time, and A and φ are constants, which can be calculated based on the (prescribed) initial conditions of the pendulum at time t = 0.

In the above equation, the constant B is:

constant in pendulum equation


A specific case is to assume that we have a simple pendulum, instead of a rigid body, as shown below.

simple pendulum swinging in a plane

In a simple pendulum the mass m is assumed to be concentrated in one point (point mass), and is attached to the end of a rigid rod of length L and negligible mass.

For a simple pendulum the moment of inertia about point P is:

moment of inertia for a simple pendulum

and

constant in simple pendulum equation

The period of oscillation T for the general pendulum is:

period of oscillation for general pendulum

This is the time it takes to complete one full cycle, or “swing”.

The frequency f in hertz (Hz) is defined as the number of cycles per second. For a general pendulum the frequency is:

frequency of oscillation for general pendulum


To illustrate the motion of a pendulum, let's look at a specific case, where the amplitude A = 2, the constant B = 1, and φ = 0. The figure below illustrates the sinusoidal motion.

sinusoidal motion of pendulum

The motion shown in this graph is sometimes called simple harmonic motion.



Return to Miscellaneous Physics page


Return to Real World Physics Problems home page

Free Newsletter

Subscribe to my free newsletter below. In it I explore physics ideas that seem like science fiction but could become reality in the distant future. I develop these ideas with the help of AI. I will send it out a few times a month.