Momentum And Collisions

A particle of mass m is moving at velocity v.


linear momentum of a moving particle


The linear momentum is defined as:


equation for linear momentum


Impulse is defined as an average force F acting for a time Δt (this time is typically short). Mathematically, impulse is FΔt.

If an impulse acts on a particle of mass m, its momentum will change by an amount ΔP. We can express this as:


impulse and change in linear momentum

where Δv is the change in velocity of the particle.


Conservation Of Linear Momentum

When two objects collide, momentum is conserved. The figure below shows a collision between two objects (before and after).


collision before impact

collision after impact


Where:

Va1 is the initial velocity of object a, before collision

ma is the mass of object a

Vb1 is the initial velocity of object b, before collision

mb is the mass of object b

Va2 is the final velocity of object a, after collision

Vb2 is the final velocity of object b, after collision


The vector equation for conservation of linear momentum can be expressed as:


vector equation for conservation of linear momentum


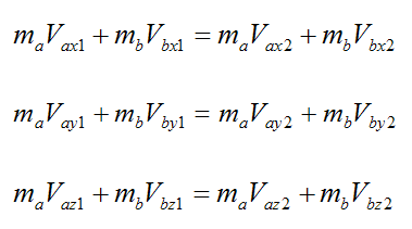
For all three directions in x, y, z this becomes:

equations for conservation of linear momentum in xyz


For an elastic collision, kinetic energy is conserved. Thus,


conservation of kinetic energy in collisions


For elastic collisions in one-dimension (head-on collision):


equations for head-on elastic collision


Conservation Of Angular Momentum

The angular momentum L for a body rotating about a fixed axis is defined as:


equation for angular momentum

Where:

I is the rotational inertia of the body about the axis of rotation

w is the angular velocity of the body


If no net external torque acts on the body, L = constant.

Thus,


conservation equation for angular momentum

where the subscripts 1 and 2 denote "initial" and "final".

For example, a figure skater pulling his arms in during rotation will spin faster as a result. This is because there is no net external torque acting on his body. So as he pulls in his arms he is decreasing his I value, which results in w increasing (since his angular momentum L is constant).



Return to Useful Physics Formulas page


Return to Real World Physics Problems home page

Free Newsletter

Subscribe to my free newsletter below. In it I explore physics ideas that seem like science fiction but could become reality in the distant future. I develop these ideas with the help of AI. I will send it out a few times a month.